珍本圣经数位典藏

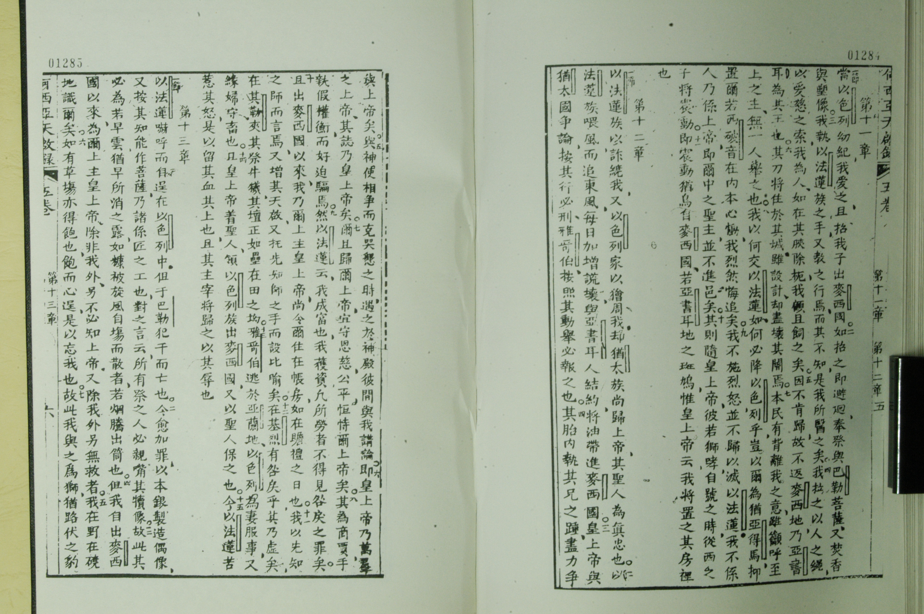
1838年旧遗诏圣书 何西阿书 11 章 到 13 章

(按图可以看高解析度照片) 封面 上一页 下一页 回珍本圣经数位典藏计划首页

回珍本圣经数位典藏计划首页