珍本聖經數位典藏

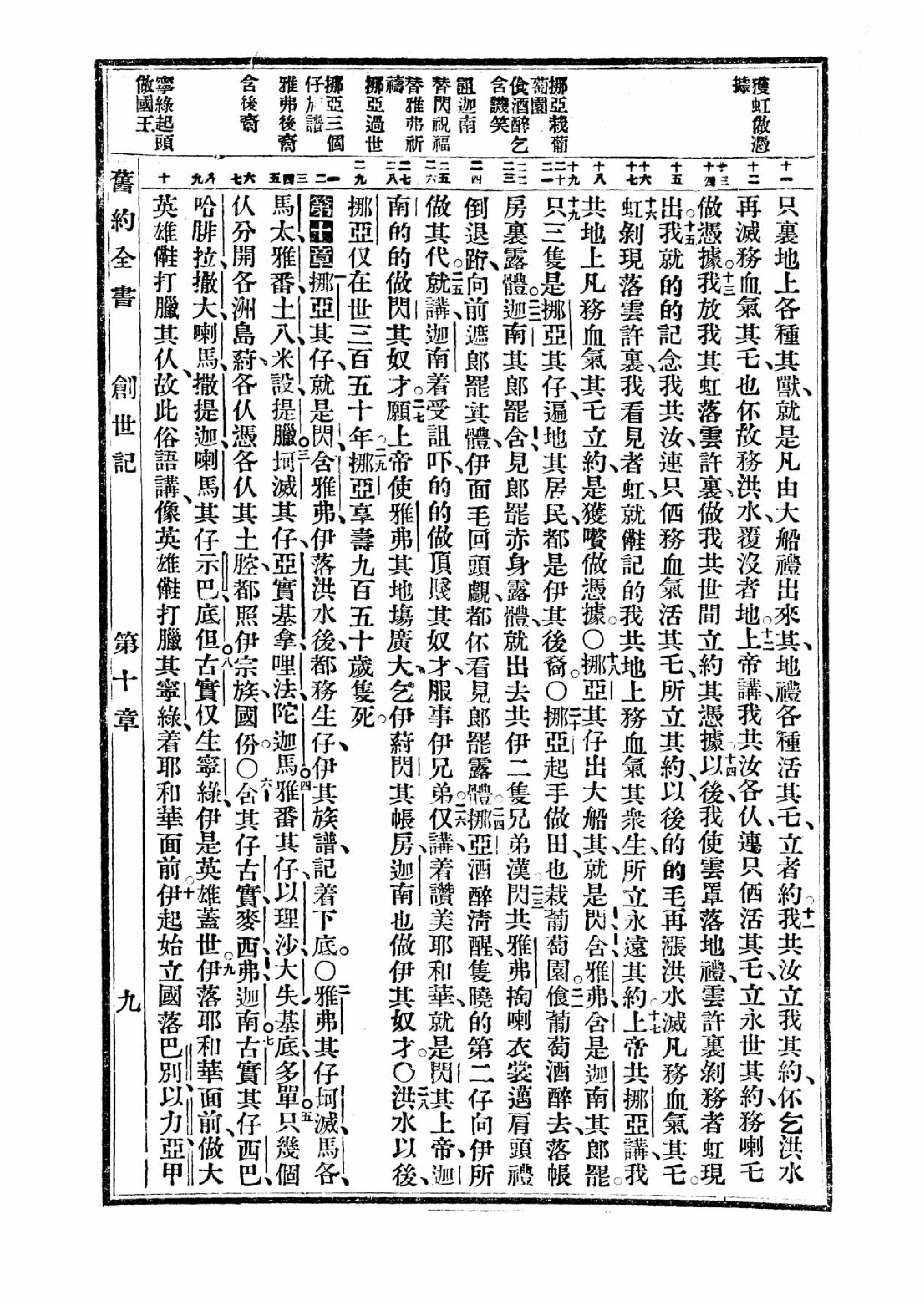
1940年福州土白《新舊約全書》 創世記 9 章 11 節到 10 章 10 節

(按圖可以看高解析度照片) 封面 上一頁 下一頁 回珍本聖經數位典藏計劃首頁

回珍本聖經數位典藏計劃首頁