珍本聖經數位典藏

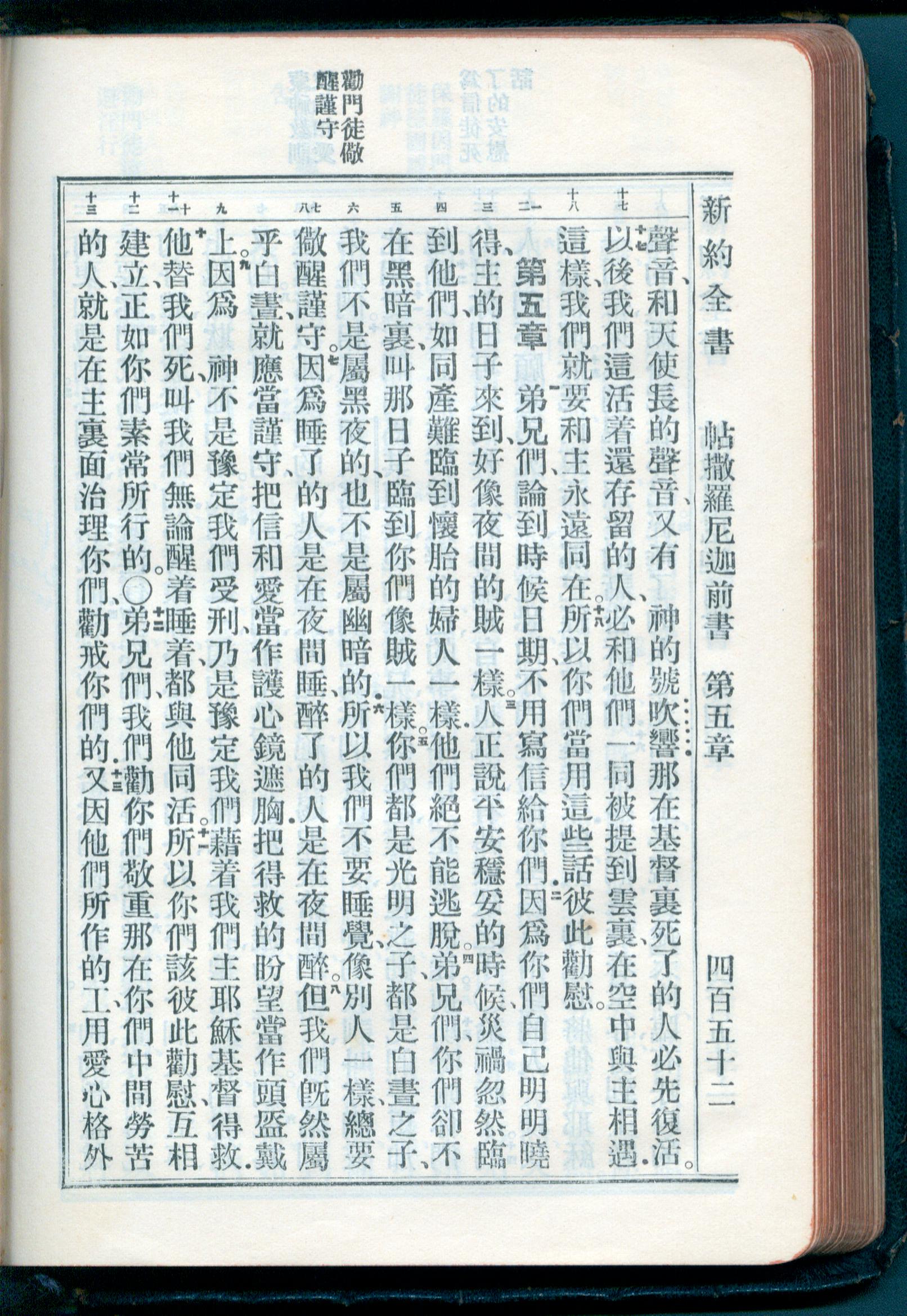
1934年新約全書(官話和合本) 帖撒羅尼迦前書 4 章 16 節到 5 章 13 節

(按圖可以看高解析度照片) 封面 上一頁 下一頁 回珍本聖經數位典藏計劃首頁

回珍本聖經數位典藏計劃首頁