珍本聖經數位典藏

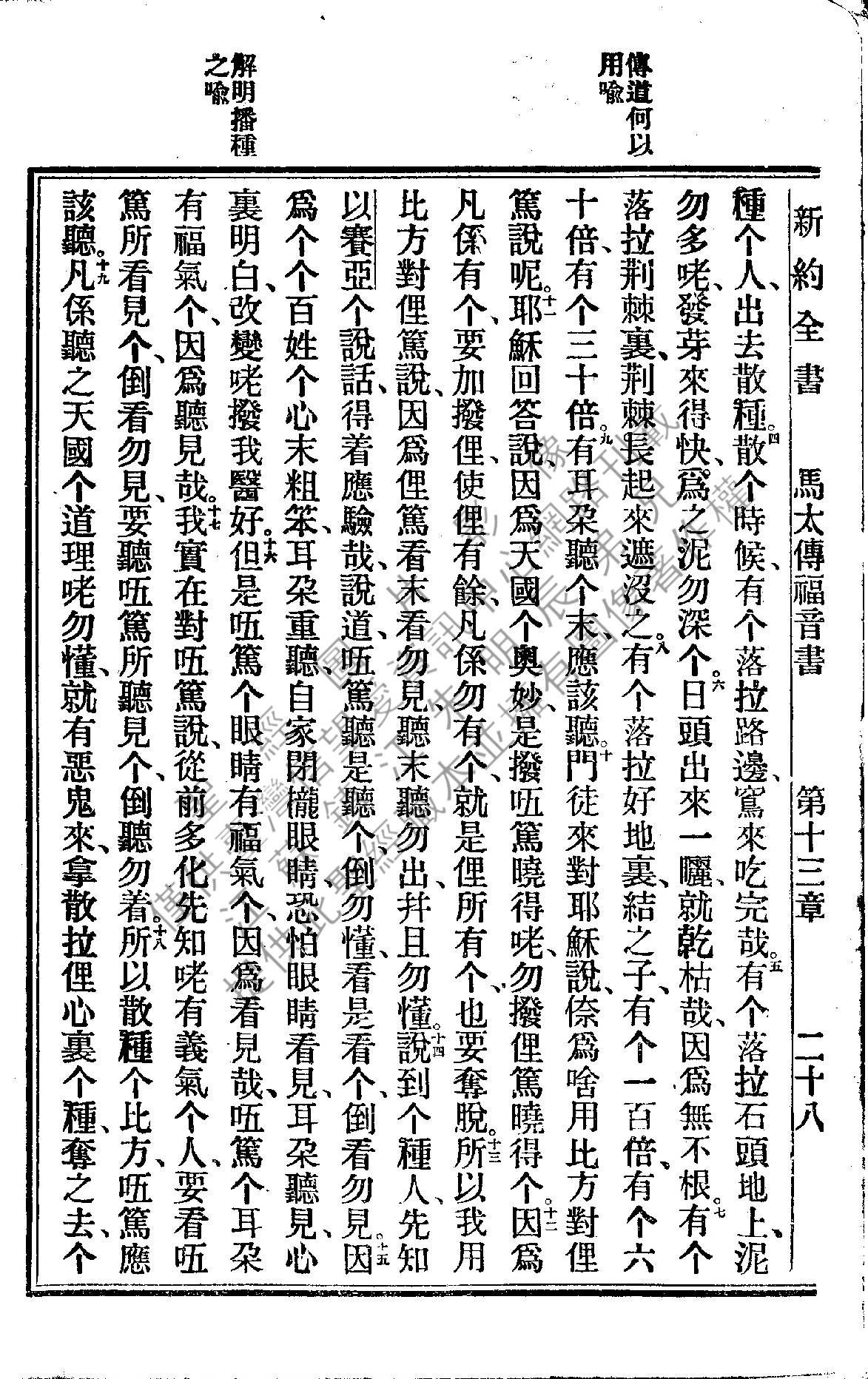
1922年新約全書 馬太福音 13 章 4 節到 13 章 19 節

(按圖可以看高解析度照片) 封面 上一頁 下一頁 回珍本聖經數位典藏計劃首頁

回珍本聖經數位典藏計劃首頁